青海新高考分數怎么算?文化課需要賦分嗎?2025各科分數是多少?(含賦分規則)
青海考生在2025年即將迎來全新的高考模式,其不同于傳統高考制度,考試科目調整為六門,考試時間也延長為四天,各科分值和計分方式也發生了變化。那么在新高考模式中,青海考生的總分該怎樣計算?文化課都需要賦分嗎?快跟隨小編一起來了解下吧!

青海新高考分數怎么算?
青海省將于2025年采用“3+1+2”新高考模式,屆時考生的高考總分構成為:3門必考(語數外共450分)+1門首選(物理/歷史單科100分)+2門再選(政治/地理/化學/生物單科100分)=總分750分。
青海高考科目及各科分值為:
全國統一高考科目語文、數學、外語3門,每科滿分均為150分,總分450分,各科均以原始分計入考生總成績。考生在物理、歷史2門首選科目中選擇1門,以原始分計入考生總成績,滿分為100分。考生在思想政治、地理、化學、生物學4門再選科目中選擇2門,以等級分計入考生總成績,每科滿分均為100分。
青海新高考文化課需要賦分嗎?
結合上述內容可知,在青海省新高考選擇性考試科目中,政治、地理、化學和生物這四門科目需要進行賦分。以下為賦分規則和等級轉換步驟:
1、將每個選考科目的考生群體原始分從高到低排序,劃分為A、B、C、D、E五個等級。各等級人數所占比例通常為A等級15%、B等級35%、C等級35%、D等級13%、E等級2%。
2、再將A至E等級內的考生原始成績,依照等比例轉換原則,分別對應轉換到100~86、85~71、70~56、55~41和40~30五個分數區間。

3、通過公式計算考生的等級轉換分,得到考生的賦分成績。轉換后的等級分1分1檔,考生排序不變。
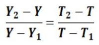
具體計算公式和方法如下:

其中:Y1、Y2分別表示原始分區間的下限和上限;T1、T2分別表示轉換分區間的下限和上限;Y表示原始分;T表示轉換分。
考慮到高考分數都以整數呈現,故上述公式的計算結果需要進行“四舍五入”處理。
舉例說明,假設某同學政治學科原始分為75分,該學科B等級的原始分分布區間為82~61,則該同學政治學科的原始成績屬B等級。而B等級的轉換分區間為85~71,那么該同學政治學科的轉換分為:

解得, T≈80.33;
四舍五入后該同學政治學科賦分成績為80(圖2)。
圖2:轉換示意圖

那么青海新高考物理和歷史科目為什么不需要賦分?這主要是因為在“3+1+2”模式下會將考生統一依據不同首選科目而被分為物理類和歷史類兩個科類,高校在招生錄取時,會對物理類考生和歷史類考生分列計劃、分開進行投檔錄取。所有物理類(或歷史類)考生在進行物理(或歷史)科目考試時將使用同一試卷,統一進行位次排名,在考試群體相同的情況下單科成績自然是具有可比性的,故無需進行等級轉換。
以上資料僅供參考,具體請以實際情況為準!
相關閱讀
-
高考補錄什么時候開始錄取幾率大嗎?補錄和正常錄取的區別?說到高考補錄很多學生會認為補錄等同于征集志愿,畢竟都是高校校未完成招生計劃時進行的補充錄取環節,但大家需要注意高考補錄和征集志愿還是有所不同的,最明顯...作者:山海 時間:2025-06-17 -
2024青海警校有哪些學校分別多少分錄取(警校名單及錄取分數線)很多學生從小就有一個警察夢,希望自己未來有一天能夠成為一名英勇無畏的人民警察,維護社會公平和正義,保護人民群眾的生命財產安全,毫無疑問報考警校是一個實...作者:山海 時間:2025-06-13 -
2024青海省大學排名及錄取分數線-青海最好的大學推薦(2025參考)高考志愿填報至關重要,大家一定要重視起來,尤其在選擇院校時一定要對自己有一個清晰的定位,然后通過參考院校的排名及分數線確定自己要報考的院校范圍,很多學...作者:山海 時間:2025-06-10 -
2024青海考生最低多少分能上政法類大學?附詳細錄取分數線及最新排名(2025參考)法治社會的建設完善,提升了老百姓的法律意識,不論是民事糾紛還是債務糾紛都離不開法律武器,因此對于法律類專業人才的市場需求不斷上升,良好的就業前景和就業...作者:栗子 時間:2025-06-07 -
2024青海各大學錄取分數線及位次表(本科+專科)2025參考!高考志愿填報時大家需要明確自己的高考成績,對自己有一個清晰的定位,然后根據自己的高考成績選擇相匹配的大學,很多準備報考青海地區大學的考生非常關心該地區...作者:山海 時間:2025-05-28 -
2024青海考生最低多少分能上醫藥類大學?附詳細錄取分數線及排名(2025參考)隨著現如今醫藥類行業以及中國人口老齡化的快速發展,醫藥類行業人才成為了現如今緊缺型人才,因此為了有好的發展前景和良好的薪資待遇,不少考生選擇了報考醫藥...作者:栗子 時間:2025-05-28
最新文章
- 高考分數相同位次怎么排名的?高考同分排序規則是什么?
- 新高考全國一卷的省份有哪些 全國新高考一卷使用地區
- 2023高考位次怎么查詢?高考位次查詢系統入口在哪里
- 新高考原始分和賦分是什么意思?新高考是按賦分還是原始分錄取?
- 高考位次計算方法公式是什么?高考一分一段表如何換算位次?
- 天津高考新政策是3+1+2還是3+3?2023年天津高考新政策細則解讀
- 2024新高考一卷數學題型改變了嗎變化分析及備考建議,命題人是誰?
- 浙江新高考政策選科怎么選,浙江新高考七選三哪個組合好
- 2025新高考死亡組合,新高考不建議的選科組合(附3+1+2賦分誰最吃虧)
- 新高考英語和老高考英語有什么區別,新高考英語題型及分值介紹