2024江蘇高考賦分對照表,賦分規則是什么?等級分如何換算?
江蘇是2024年采取“3+1+2”高考模式的新高考省份,高考選考科目采用了等級賦分。那么其高考賦分規則是什么?等級分是如何換算的?快來了解一下吧!

江蘇高考賦分對照表及賦分規則

以等級分計入高考總分的某一科目,考生相應科目的合格性考試成績達到合格后,轉換時賦分起點為30分。具體轉換步驟如下:第一步,按照考生原始分從高到低劃定 A、B、C、D、E 共五個等級,各等級人數所占比例分別約為15%、35%、35%、13%和2%,從而將考生的原始分轉換成了等級。第二步,將A至E五個等級內的考生原始分,依照等比例轉換法則,分別對應轉換到100~86、85~71、70~56、55~41和40~30五個分數段,得到考生的轉換分,從而將考生的等級轉換成了等級分。經過轉換,考生在相應科目群體中的位次不會下降。
江蘇高考賦分算法如下:
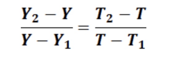
根據等比例轉換法則計算每個考生等級分的公式為:

Y 表示原始分;
T 表示轉換分;
Y1、Y2 分別表示原始分區間的下限和上限;
T1、T2 分別表示轉換分區間的下限和上限。
轉換示例:

假設某考生思想政治科目合格性考試成績達到合格,選擇性考試科目原始分為75分。第一步,將該科目選擇性考試原始分從高到低進行排序,按照規定的等級比例將該考生劃定為B等級,該科目B等級的原始分分布區間為82~61(僅是示例,實際各科目各等級原始分分布區間丌固定);第二步,根據分數轉換參數設置,將B等級內的該考生原始分,依照等比例轉換法則,轉換到85~71分數段,根據轉換公式,該考生思想政治科目的轉換分為:

解得,T≈ 80(四舍五入取整),即該考生思想政治科目等級分為80分。
江蘇高考總成績組成
高考總分值設置為750分。考生總分由全國統一高考的語文、數學、外語3個科目成績和考生選擇的3門學業水平選擇性考試科目成績組成。
語文、數學、外語3門統考科目,每門150分,其中外語科目含聽力考試30分;各科均以原始分計入考生總分。
3門選擇性考試科目每門100分。其中,物理、歷史以原始分計入總分;其余4門科目(思想政治、地理、化學、生物)以等級分計入總分。學生所選的選擇性考試科目,其所選科目的合格性考試成績必須達到合格。
等級考科目選報建議
1、從學生興趣特長入手,提前規劃人生
新高考學業水平等級考6選3科目的設置,賦予了考生充分的自主權和選擇權。這是高考改革制度設計的初衷,凸顯了綜合培養、多元發展的教育理念,也倒逼學生從高一開始就要站在人生規劃的角度上思考未來。考生進行等級考科目選擇要堅持“以我為主”,認真分析自我,明確興趣、愛好與特長,從興趣出發,根據個人特長選擇。因為興趣是最好的老師,有興趣、有目標才會有動力。
2、結合高校專業要求,進行雙向選擇
新高考要求高校根據自身辦學定位和不同專業(或專業類)人才培養目標設置一定的選考科目,這也給考生提前了解高校,規劃職業生涯創造了條件。考生要在興趣、特長前提下,結合高校相關專業要求和未來職業發展的愿景目標,廣泛獲取“學科——專業——行業”的相關信息,在家長及老師的建議下,科學分析,實現最優的“雙向選擇”,確立適合自己的選考科目。
3、綜合考慮,突出優勢學科
高考是人才選拔性考試。考生要“趨利避害”選擇出自己的優勢學科參與競爭。優勢學科不是考試成績分數最高的那一科,而是成績排名最靠前的學科。因為排名才是與他人比較后自己真正的學習能力。新高考等級考6選3采,取根據原始分數排名百分比例劃分等級,進行賦分。考生因此要考慮參與學科排名考生群體的綜合素質。如果強手如林,競爭激烈,等級賦分肯定會低;如果參考學科考生群體較弱,那么等級賦分就會相對高些。所以,選擇學科時要綜合考慮某一學科參考考生的群體實力,然后選擇出自己最具有實力的學科,才能獲得較高分數。突出自己的優勢學科選考時也要綜合考慮自己所在區、所在校的優勢學科因素。
4、選考學科科目組合建議
眾所周知,在京招生理工類院校多,招生計劃多,考生要多關注理工科目,特別要格外關注物理、化學科目。因為物理是最基礎的學科,盡管學習難度偏高,但選考物理選報高校專業的范圍最廣,這直接影響著高校錄取。化學專業覆蓋率低于物理,但穩居第二位,且學科難度低于物理,受眾面廣,學生易于接受。所以,建議以物理、化學這兩科目為主,然后兼顧新課改“均衡發展”理念,根據學科優勢,選擇自己相對擅長的政治、歷史、地理等文史科目。
以上資料僅供參考,具體請以實際情況為準!
相關閱讀
-
央企最青睞的大學有哪些-容易進央企的20所大學盤點高考志愿填報時,無論是大學還是專業的選擇都會影響到未來的職業發展方向,為了避免畢業即失業的情況發生,很多學生與家長們都很關注哪些學校的就業去向會更好,...作者:山海 時間:2025-03-10 -
高考滿族加多少分?滿族高考加分政策2025!我國高考加分項目是比較豐富的,例如烈士子女、退役軍人、歸僑、華僑子女、歸僑子女和臺灣省籍(含臺灣戶籍)考生、少數民族考生等等,滿族作為少數民族自然是享...作者:山海 時間:2025-03-10 -
高考小語種代替英語有什么弊端?高考小語種報考專業受限嗎?在前些年小語種專業非常受到大家關注,每年都有大批考生選擇報考小語種專業,但最近幾年這種態勢已然減弱,因為不少語種的專業人才在市場上已趨飽和。按照張雪峰...作者:kokkuri 時間:2025-03-10 -
高了投檔線8分穩不穩?志愿填報比投檔線高多少分最安全?高考志愿應如何安排對于考生來說是一個值得重點關注的問題,每一個院校和專業志愿的選擇都關系到考生的發展方向,如果有填報失當之處,很可能導致考生十幾年的努...作者:kokkuri 時間:2025-03-10 -
湖北新高考選科組合有哪些?湖北新高考3+1+2最佳組合推薦!高考選科意義重大,因為選科不僅僅是高中階段的一次選擇,更是對未來大學專業和職業發展的重要鋪墊,所以大家在高中階段選科時要更加的慎重,很多湖北省的考生們...作者:山海 時間:2025-03-09 -
2025高考96個志愿可以填96所學校嗎 怎么報考比較好(含志愿填報技巧)關于高考志愿可以填多少個志愿是沒有準確答案的,因為有些省份可以填40個,有些則是45個、80個、96個、112個等等,很多學生非常關心96個志愿是否可以填報96所學...作者:山海 時間:2025-03-09
最新文章
- 高考分數相同位次怎么排名的?高考同分排序規則是什么?
- 新高考全國一卷的省份有哪些 全國新高考一卷使用地區
- 2023高考位次怎么查詢?高考位次查詢系統入口在哪里
- 新高考原始分和賦分是什么意思?新高考是按賦分還是原始分錄取?
- 高考位次計算方法公式是什么?高考一分一段表如何換算位次?
- 天津高考新政策是3+1+2還是3+3?2023年天津高考新政策細則解讀
- 2024新高考一卷數學題型改變了嗎變化分析及備考建議,命題人是誰?
- 浙江新高考政策選科怎么選,浙江新高考七選三哪個組合好
- 2024新高考死亡組合,新高考不建議的選科組合(附3+1+2賦分誰最吃虧)
- 新高考英語和老高考英語有什么區別,新高考英語題型及分值介紹